Cara Menghitung Biaya Listrik Bulanan PC: Panduan Praktis
Menghitung biaya listrik ini sangat penting, terutama jika kalian sering menggunakan PC untuk bermain game, bekerja, atau streaming. Dengan mengetahui konsumsi listrik PC yang dipakai, setidaknya kita bisa lebih bijak dalam mengelola anggaran bulanan dan bahkan mencari cara untuk menghemat energi.
Jadi, bagaimana caranya? simak langkah-langkah berikut ini!
Baca juga: OneDrive, Dropbox, & Google Drive: Cloud Storage Mana Yang Ideal?
Table of Contents
1. Identifikasi Komponen Utama PC
Langkah pertama adalah mengetahui komponen utama yang ada di PC kalian. Ini termasuk:
- Prosesor (CPU)
- Kartu Grafis (GPU)
- Motherboard
- Jumlah dan kapasitas modul RAM
- Storage (HDD/SSD)
- Pendingin tambahan seperti kipas casing dan CPU Cooler
Komponen-komponen ini mempengaruhi konsumsi daya PC secara keseluruhan. Biasanya, prosesor dan kartu grafis adalah dua komponen yang menyumbang konsumsi daya terbesar.
2. Gunakan Power Supply Calculator Online
Langkah berikutnya adalah menggunakan Power Supply Calculator online untuk mendapatkan estimasi konsumsi daya PC kalian. Contoh ada tool dari FSP dan cukup mudah digunakan meskipun opsinya tidak terlalu banyak.
Berikut cara menggunakannya:
- Kunjungi situs Power Supply Calculator, misalnya dari FSP.
- Isi informasi komponen PC:
- Prosesor: Pilih merk dan model, misalnya AMD Ryzen 7 7700.
- Kartu Grafis: Masukkan merk dan model, misalnya AMD RX 6700 XT.
- RAM: Isi jumlah modul dan kapasitas per modul.
- Storage: Pilih jenis dan jumlah storage. Jika hanya ada opsi SATA atau PATA, SSD biasanya tidak berpengaruh besar pada konsumsi daya.
- Cooling: Masukkan jumlah kipas casing dan CPU Cooler.
- Klik Calculate untuk mendapatkan estimasi konsumsi daya rata-rata PC kalian.
3. Hitung Konsumsi Daya Harian
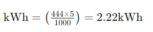
Setelah mendapatkan hasil dari Power Supply Calculator, konversi nilai watt ke kilowatt-hour (kWh) untuk menghitung konsumsi daya harian. Misalnya, jika hasilnya adalah 444 watt dan PC kalian digunakan selama 5 jam sehari, rumusnya adalah:
Jadi, untuk 444 watt dan 5 jam penggunaan:
4. Hitung Biaya Listrik Harian dan Bulanan
Untuk menghitung biaya listrik, cek tarif listrik per kWh dari penyedia layanan listrik kalian. Misalnya, tarif terbaru adalah Rp1.444,70 per kWh. Kemudian, kalikan konsumsi daya harian dengan tarif per kWh:
Jadi:
Jika PC digunakan selama 30 hari, biaya bulanan adalah:
Jadi:
Kesimpulan
Menghitung biaya listrik bulanan dari PC kalian tidak hanya membantu dalam perencanaan anggaran, tetapi juga dalam pengelolaan konsumsi energi. Meskipun hasil perhitungan ini adalah estimasi, ini memberi gambaran umum yang bermanfaat. Semoga panduan ini bermanfaat bagi kalian!
Jika ada yang masih bingung atau memiliki pertanyaan, jangan ragu untuk meninggalkan komentar di bawah.
VIDEO TERBARU MURDOCKCRUZ :







